欢迎来到北京康高特 - 只为给你更好的测试体验,只为让我们成为更好的自己! English 中文

telphone

多普勒法测流简介

来源:8868登陆入口 发布时间:2016-02-23 14:48:58 作者: 浏览次数:5184次 分类:技术文章

       利用超声波测量流速、流量的技术,在海洋观测、河流流量测验等各种计量测试中已被广泛应用。利用超声波测量流速、流量的方法是多种多样的,有相位差法、时间差法、射束位移法以及对流速变化较其他方法更为灵敏的多普勒法。


1、多普勒法测量原理

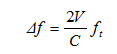
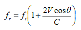
       多普勒法测量原理,是依据声波中的多普勒效应,其检测量为漂移频率。换能器发射某一固定频率的声波ft,由于颗粒物的漫反射,换能器接收到被水体中颗粒物散射回来的声波fr,假定颗粒物的运动速度V与水体流速相同,当颗粒物的运动方向接近换能器时,换能器接收到的回波频率比发射波频率高;当颗粒物的运动方向背离换能器时,换能器接收到的回波频率比发射波频率低。如果静止介质中的声速取为C,那么声学多普勒频移,即发射声波频率与回波频率之差fr可表示为:

       式中:θ1θ2分别为超声波发射方向、反射方向与水流流动方向的夹角;V为流速。

当C>>V时,有:

       在θ1=θ2=θ时,则:

       即超声波收发频率之差为:

       由此可知,多普勒频移与流速成正比。


2、声学多普勒流速剖面仪

2.1、ADCP(走航式)流量测量原理

       ADCP(AcousticDopplerCurrentProfiler)是一种利用声学多普勒原理测量水流速剖面的仪器。ADCP仪器内有罗盘、倾斜计、温度传感器、DGPS接口、换能器(3个或4个)等部件。换能器与ADCP轴线呈一定夹角。每个换能器既是发射器又是接收器,换能器发射的声波能量集中于较窄的范围内,称为声束(类似于手电筒或探照灯发射的光束)。换能器发射某一固定频率的声波,然后接收被水体中颗粒物散射回来的声波。假定颗粒物的运动速度与水体流速相同,那么声学多普勒频移,即发射声波频率与回波频率之差由下式确定,即:

       ADCP每个换能器轴线即为一个声束坐标。每个换能器测量的流速是水流沿其声束坐标方向的速度。任意3个换能器轴线即组成一组相互独立的空间声束坐标系。另外,ADCP自身定义有直角坐标系(局部坐标系)X-Y-Z,Z方向与ADCP轴线方向一致。ADCP首先测出沿每一声束坐标的流速分量,然后利用声束坐标与X-Y-Z坐标之间的转换关系(取决于声束角),将声束坐标系下的流速转换为X-Y-Z坐标系下的三维流速,再利用罗盘和倾斜计提供的方向和倾斜数据,将X-Y-Z坐标系下的流速转换为地球坐标系下的流速。


       
ADCP测量流量时,将测流断面分成若干个子断面,在每个子断面内测量垂线上一点或多点流速并测量水深,从而得到子断面内的平均流速和流量,再将各个子断面的流量叠加,*得到整个断面的流量。在进行断面流量测量过程中,ADCP实际测量的区域为断面的

中部区域,这个区域称为ADCP实测区。而在4个边缘区域内,ADCP不能提供测量数据或有效测量数据。*个区域靠近水面(表层),其厚度大约为ADCP换能器入水深度、ADCP盲区以及单元尺寸一半之和。第二个区域靠近河底(底层),称为“旁瓣”区(河底对声束的干扰区),其厚度取决于ADCP声束角(即换能器与ADCP轴线的夹角)。第三个区域和第四个区域为靠近两侧河岸的区域,因其水深较浅,测量船不能靠近,或者ADCP不能保证在垂线上至少有1个或2个有效测量单元。这4个区域通称为非实测区,其流速和流量需通过实测区数据外延来估算。


2.2、性能比较

       根据声信号发射和处理方法,ADCP分为宽带型和窄带型。宽带ADCP与窄带ADCP的区别在于它们采用不同的声信号发射、接收和处理方法。窄带ADCP的声信号发射、接收和处理方法是:对于每一个流速测量,ADCP发射一个单独的、相对讲较长的脉冲声波,然后接受这个脉冲的反射波,并记录发射波与反射波之间的频率改变来计算水体的速度。宽带ADCP的声信号发射、接收和处理方法是:对于每一个流速测量,ADCP发射2组或更多组编码脉冲波,ADCP测量脉冲波组之间的相关系数及相位差,用来计算多普勒频移。

       (1)宽带ADCP流速测量短期精度比窄带ADCP高4倍左右。

       (2)宽带ADCP流速测量的时间分辨率(或走航测量时的水平空间分辨率)比窄带ADCP高16倍左右。

       (3)宽带ADCP盲区较小,垂向空间分辨率较高。

       (4)宽带ADCP对水深和含沙量变化的适应性较好。


3、ADCP在测流中的应用

       近几年来,ADCP在水文领域已逐步得到推广应用,取得了很大进展。


       2001年9月,上海市水文总站在黄浦江松浦大桥水文站测流断面,用1台RDI公司生产的“瑞江”牌600kHz走航式ADCP与传统转子式流速仪进行了25小时连续测量比测,结果表明,两者测量结果吻合很好。


       2002年9月18-20日,水利部长江水利委员会与RDI公司联合进行了将ADCP与DGPS、测深仪及电罗经集成的试验。试验选择了位于三峡大坝下游约5km处的黄陵庙水文站测流断面,流量约为11000m3/s,河宽约为400m,河床*深处为53m,含沙量约为0.5kg/m3。试验采用了4台RDI公司的ADCP仪器。试验结果表明,采用DGPS、测深仪及电罗经数据得到的流量与底跟踪得到的流量吻合很好,满足测流精度,试验取得了成功。这是国内*将DGPS、测深仪及电罗经同时与ADCP集成,从而解决了ADCP在洪水期使用时遇到的高含沙量水流、河底存在推移质运动以及磁罗盘受铁壳船干扰等问题。


       在1997年三峡工程大江截流和2002年11月6日三峡工程明渠截流中,也使用了ADCP进行流量测量,并取得了圆满成功。


       由于ADCP测量方法的优越性明显高于传统的测量方法,ADCP将在各领域越来越多地得以应用。

相关产品