欢迎来到北京康高特 - 只为给你更好的测试体验,只为让我们成为更好的自己! English 中文

telphone

皮托管原理

来源:8868登陆入口 发布时间:2015-09-22 16:08:23 作者: 浏览次数:9723次 分类:技术文章

1.测量原理和结构

      皮托静压管(皮托管)是由一个垂直在支杆上的圆筒形流量头组成的管状装置。本装置在侧壁周围有一些静压孔,顶端有一个迎流的全压孔。它能测出压差,并根据压差确定流体中某处的流速,由流速与面积的乘积计算出流量。


      皮托管的测量原理是基于伯努利方程在空气中应用的一个实例,如图1所示。当理想流体均匀的平行流向静止物体时,设想其中一条撞在物体上(即图1中的A点),在此处流体发生分岔,A点成为滞止或驻点,A的流速为零,V­A=0。


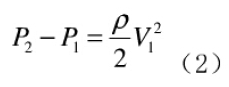
      如果我们选择两个截面Ⅰ-Ⅰ、Ⅱ-Ⅱ,Ⅰ-Ⅰ截面流动没有受到任何影响,流束是平行的,流速形成规则的速度分布,截面各点的静压力相等。Ⅱ-Ⅱ界面流动受到影响,流束密集,流速加快,静压降低。则两个面上的伯努利方程为

      式中:

      ζ为Ⅰ-Ⅰ到Ⅱ-Ⅱ区间的流体阻力系数,这里可以不考虑,即ζ=0

      K为速度分布不均匀系数,这里可设K1=K2=1

      ρ为流体密度,因为是均匀的ρ12

      P为两个截面的静压力

      V为两个截面的流速,VA=V2=0


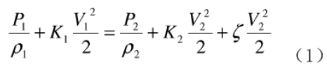
      整理得到的公式为:

      式中:

      P2为总压力(因为动压为零)

      P1为静压力

      如图1所示,若在物体B点开一个孔,由于均匀流场中静压力相等,则P1=PB=0

      令P2=P1,V1=V,则公式2*变为:

      式中:P-P0实际上是流场中某一点流体的动压力P。


2.皮托管结构

      皮托管的原理结构如下图所示,当一台差压计两端分别于总压管和静压管连接,这样压差计上*可以显示出动压值来。

      上图是一般皮托管的结构,为了能看清,把两端放大。如图中可以看到皮托管外形是一个L型的金属管,与管轴平行安置的直角边是测头,其顶端有一个总压孔,在其侧壁上有若干个静压孔。总压孔与静压孔不相通,分别用导压管引出,从静压孔至总压孔称为鼻端。直角的另一边称为支杆,引出总压孔和静压孔的接头以便与微压计的管相连接。其上有定向杆,指示鼻端方向。测量总压力的管子叫皮托管,测量静压力的管子叫静压管。实际上常用的都是皮托管和静压管的组合,而且多数使用实验系数接近为1的形状,也*是国际标准推荐的GETIAT(锥形头)型,AMCA型(球形头),MPL型(椭圆形头三种),如下图所示


3.皮托管的使用范围

      A. 流体性质:连续的单相流体或是具有与单相流体相类似的流体。如果是液体,应该是牛顿流体,流动时没有横向速度梯度

      B. 皮托管一般常用的流速为5至30m/s,不能用于马赫数大于0.8的流体,而且为了获得*佳的准确度,应在皮托管使用条件下进行校准。当马赫系数在0.9-1.0之间,大多数皮托管出现不规性,不能用以进行测量。

      C. 皮托管的d/D不能大于0.04,当在0.02-0.04时需要对阻塞影响和速度梯度进行修正,在高流速场合应避免皮托管振动。

相关产品