欢迎来到北京康高特 - 只为给你更好的测试体验,只为让我们成为更好的自己! English 中文

telphone

紫外一可见分光光度法

来源:8868登陆入口 发布时间:2016-08-25 18:11:48 作者: 浏览次数:6964次 分类:技术文章

1、简述
       紫外一可见分光光度法是通过被测物质在紫外光区或可见光区的特定波长处或一定波长范围内的吸光度,对该物质进行定性和定量分析的方法。本法在检验中主要用于物质的鉴别、检查和含量测定。

       定量分析通常选择物质的*大吸收波长处测出吸光度,然后用对照品或吸收系数求算出被测物质的含量,多用于制剂的含量测定;对已知物质定性可用吸收峰波长或吸光度比值作为鉴别方法;若该物质本身在紫外光区无吸收,而其杂质在紫外光区有相当强度的吸收,或杂质的吸收峰处该物质无吸收,则可用本法作杂质检查。


       物质对紫外辐射的吸收是由于分子中原子的外层电子跃迁所产生,因此,紫外吸收主要决定于分子的电子结构,故紫外光谱又称电子光谱。有机化合物分子结构中如含有共扼体系、芳香环等发色基团,均可在紫外区(200-400nm)或可见光区(400-850nm)产生吸收。通常使用的紫外一可见分光光度计的工作波长范围为190-900nm。


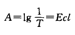
       紫外吸收光谱为物质对紫外区辐射的能量吸收图。朗伯一比尔(Lambert一Beer)定律为光的吸收定律,它是紫外分光光度法定量分析的依据,其数学表达式为

 
       式中A为吸光度;
       T为透光率;
       E为吸收系数;
       c为溶液浓度;
       l为光路长度。

       如溶液的浓度(c)为1%(gml),光路长度(l)为1cm,相应的吸光度即为吸收系数,以Ecl表示。如溶液的浓度(c)为摩尔浓度(molL),光路长度为1cm时,则相应的吸收系数为摩尔吸收系数,以ε表示。


2、仪器

       紫外一可见分光光度计主要由光源、单色器、样品室、检测器、记录仪、显示系统和数据处理系统等部分组成。

       为了满足紫外一可见光区全波长范围的测定,仪器备有两种光源,即氛灯和碘钨灯,前者用于紫外区,后者用于可见光区。


       单色器通常由进光狭缝、出光狭缝、平行光装置、色散元件,聚焦透镜或反射镜等组成。色散元件有棱镜和光栅两种,棱镜多用天然石英或熔融硅石制成,对200-400nm波长光的色散能力很强,对600nm以上波长的光色散能力较差,棱镜色散所得的光谱为非匀排光谱。光栅系将反射或透射光经衍射而达到色散作用,故常称为衍射光栅,光栅光谱是按波长作线性排列,故为匀排光谱,双光束仪器多用光栅为色散元件。

检测器有光电管和光电倍增管两种。

       紫外一可见分光光度计依据其结构和测量操作方式的不同可分为单光束和双光束分光光度计两类。单光束分光光度计有些仍为手工操作,即固定在某一波长,分别测量比较空白、样品或参比的透光率或吸光度,操作比较费时,用于绘制吸收光谱图时很不方便,但适用于单波长的含量测定。双光束分光光度计藉扇形镜交替切换光路使分成样品(S)和参比(R)两光束,并先后到达检测器,检测器信号经调制分离成两光路对应信号,信号的比值可直接用记录仪记录,双光束分光光度计操作简单,测量快速,自动化程度高,但作含量测定时,为求准确起见,仍宜用固定波长测量方式。


3、紫外一可见分光光度计的检定

       3.1波长准确度
       
       3.1.1波长准确度的允差范围

         紫外一可见分光光度计波长准确度允许误差,紫外区为±lnm,500nm处±2nm。
       
       
3.1.2波长准确度检定方法

       
       3.1.2.1用低压汞灯检定

       关闭仪器光源,将汞灯(用笔式汞灯*方便)直接对准进光狭缝,如为双光束仪器,用单光束能量测定方式,采用波长扫描方式,扫描速度“慢”(如15nmmin)、响应“快”、*小狭缝宽度(如0,lnm)、量程。0-*,在200-800nm范围内单方向重复扫描3次,由仪器识别记录各峰值(若仪器无“峰检测”功能,必要时可对指定波长进行“单峰”扫描)。

       单光束仪器以7516型为例,可将选择开关放在X 0.1位置,透光率读数放在100(或选择开关放在X1,透光率放在10),关小狭缝,打开光闸门,缓缓转动波长盘,寻找汞灯546.07nm峰出现的位置,若与波长读数不符,应调节仪器左侧准直镜的波长调整螺丝,如波长向短波长方向移动,应顺时针方向旋转波长调整螺丝,如向长波方向移动,则应反时针方向旋转波长调整螺丝,调整好后,再按汞灯的下列谱线测试,记录每条谱线与仪器波长读数的误差。

       用于检定紫外一可见分光光度计的汞灯谱线波长237.83,253.65,275.28,296.73,302.15,313.16,334.15,365.02,365.48,366.33,404.66(紫色)、435.83(蓝色)、546.07(绿色),576.96(黄色)及579.07nm。


       3.1.2.2用仪器固有的氘灯检定

       本法主要用于日常工作中波长准确度的核对。取单光束能量测定方式,测量条件同上述低压汞灯的方法,对486.02nm及656.lOnm二单峰进行方向重复扫描3次。

       3.1.2.3用氧化钬玻璃检定

       将氧化钬玻璃放人样品光路,参比光路为空气,按测定吸收光谱图方法测定。校正自动记录仪器时,应考虑记录仪的时间常数,测定样品与校正时取同一扫描速度。氧化钬玻璃在279.4,287.5,333.7,360.9,418.7,460.0,484.5,536.2及637.5nm波长处有尖锐的吸收峰,可供波长检定用。氧化钬玻璃因制造的原因,每片氧化钬的吸收峰波长有差异,另外,在放置过程中也会发生波长漂移,因此需定期由计量部门校验。

       3.1.2.4用高氯酸钦溶液检定

       本法可供没有单光束测定功能的双光束紫外分光光度计波长准确度检定用。

       高氯酸钦溶液的配制方法取10%高氯酸为溶剂,加人氧化钬(Ho2 03)配成4%溶液即得。高氯酸钦溶液较强的吸收峰波长为241.13,278.10,287.18,333.44,345.47,361.31,416.28,451.30,485.29,536.64,640.52nm。

如果是双光束扫描仪器,但不是数据贮存型的(指是直接将信号描记于记录纸上),记录的波长可能因记录笔滞后而非真实波长,为了准确测定,建议采用定点检定而不用扫描方式。

       3.2吸光度准确度

       精密称取在120℃干燥至恒重的基准重铬酸钾约60mg,置1000m1量瓶中,用0.005mo1L硫酸液溶解并稀释至1000m1,用配对的1 cm石英池,以0.005mo1L硫酸液为空白,在235,257,313,350nm分别测定吸光度,然后换算成E,测得值应符合表1中规定的允差范围。
       分辨率、基线平直度、稳定度、绝缘电阻等项检定,按现行*技术监督局“双光束紫外一可见分光光度计检定规程”检定,应符合有关项下的规定。日常使用中,对以上两项,即波长和吸光度准确度应根据需要随时检查。

       3. 3杂散光的检查

       可按表2所列的试剂和浓度,配制成水溶液,置1 cm石英池中,在规定的波长处测定透光率,应符合表2中规定。

4、样品测定操作方法

       4.1吸收系数测定(性状项下)
       按各品种项下规定的方法配制供试品溶液,在规定的波长处(参见5.8项)测定其吸光度,并计算吸收系数,应符合规定范围。

       4.2鉴别及检查

       按各品种项下的规定,测定供试品溶液的*大及*小吸收波长,有的必须测定其在*大吸收波长与*小吸收波长处的吸光度比值,均应符合规定。

       4.3含量测定


       4.3.1对照品比较法

       按各品种项下规定的方法,分别配制供试品溶液和对照品溶液,对照品溶液中所含被测成分的量应为供试品溶液中被测成分标示量的*土10%以内,用同一溶剂,在规定的波长处测定供试品溶液和对照品溶液的吸光度。

       4.3.2吸收系数法

       按各品种项下配制供试品溶液,在规定的波长及该波长士2 nm处测定其吸光度,按各该品种在规定条件下给出的吸收系数计算含量。用本法测定时,吸收系数通常应大于100,并注意仪器的校正和检定,如测定新品种的吸收系数,需按后列“吸收系数测定法”的规定进行。

       4.3.3计算分光光度法

       按规定,计算分光光度法一般不宜用于含量测定,对于少数采用计算分光光度法的品种,应严格按各品种项下规定的方法进行。用本法时应注意有一些吸光度是在待测成分吸收曲线的上升或下降陡坡处测定,影响精度的因素较多,故应仔细操作,尽量使供试品和对照品的测定条件一致。若该品种不用对照品,如维生素A测定法,则应在测定前对仪器作仔细的校正和检定。

       4.3.4比色法

       供试品本身在紫外一可见光区没有强吸收,或在紫外光区虽有吸收但为了避免干扰或提高灵敏度,加人适当的显色剂,使反应产物的*大吸收移至可见光区。
用比色法测定时,由于显色时影响显色深浅的因素较多,应取供试品与对照品或标准品同时操作。除另有规定外,比色法所用的空白系指用同体积的溶剂代替对照品或供试品溶液,然后依次加入等量的相应试剂,并用同样方法处理。

       当吸光度和浓度关系不呈良好线性时,应取数份梯度量对照品溶液,用溶剂补充至同一体积,显色后测定各份溶液的吸光度,然后以吸光度与相应的浓度绘制标准曲线,再根据供试品的吸光度在标准曲线上查得其相应的浓度,并求出其含量。

5、注意事项

       1.试验中所用的量瓶和移液管均应经检定校正、洗净后使用。

       2.使用的石英吸收池必须洁净。当吸收池中装人同一溶剂,在规定波长测定各吸收池的透光率,如透光率相差在0.3%以下者可配对使用,否则必须加以校正。


       3.取吸收池时,手指拿毛玻璃面的两侧。装样品溶液的体积以池体积的45为度,使用挥发性溶液时应加盖,透光面要用擦镜纸由上而下擦拭干净,检视应无残留溶剂,为防止溶剂挥发后溶质残留在池子的透光面,可先用醛有空白溶剂的擦镜纸擦拭,然后再用干擦镜纸拭净。吸收池放人样品室时应注意每次放人方向相同。使用后用溶剂及水冲洗干净,晾干,防尘保存,吸收池如污染不易洗净时可用硫酸发烟硝酸(31VV)混合液稍加浸泡后,洗净备用。如用铬酸钾清洁液清洗时,吸收池不宜在清洁液中长时间浸泡,否则清洁液中的铬酸钾结晶会损坏吸收池的光学表面,并应充分用水冲洗,以防铬酸钾吸附于吸收池表面。


       4.含有杂原子的有机溶剂,通常均具有很强的末端吸收。因此,当作溶剂使用时,它们的使用范围均不能小于截止使用波长。例如甲醇、乙醇的截止使用波长为205nm。另外,当溶剂不纯时,也可能增加干扰吸收。因此,在检查所用的溶剂在供试品所用的波长附近是否符合要求,即将溶剂置1 cm石英吸收池中,以空气为空白(即空白光路中不置任何物质)测定其吸光度,溶剂和吸收池的吸光度应符合表3规定。


       5.称量应按规定要求。配制测定溶液时稀释转移次数应尽可能少,转移稀释时所取容积一般应不少于5m1。含量测定时供试品应称取2份,如为对照品比较法,对照品一般也应称取2份。吸收系数检查也应称取供试品2份,平行操作,每份结果对平均值的偏差应在±0.5%以内。作鉴别或检查可取样品1份。


       6.供试品溶液的浓度,除各品种项下已有注明者外,供试品溶液的吸光度以在0.3~0.7之间为宜,吸光度读数在此范围误差较小,并应结合所用仪器吸光度线性范围,配制合适的读数浓度。


       7.选用仪器的狭缝谱带宽度应小于供试品吸收带半高宽的1000,否则测得的吸光度值会偏低,或以减小狭缝宽度时供试品溶液的吸光度不再增加为准,对于紫外分光光度法测定的大部分品种,可以使用2nm缝宽,但当吸收带的半高宽小于20nm时,则应使用较窄的狭缝,例如青霉素钾及钠的吸光度检查需用1nm缝宽或更窄,否则其264nm的吸光度会偏低。


       8.测定时除另有规定者外,应在规定的吸收峰±2nm处,再测几点的吸光度,以核对供试品的吸收峰位置是否正确,并以吸光度*大的波长作为测定波长,除另有规定外吸光度*大波长应在该品种项下规定的波长±2nm以内,否则应考虑试样的同一性、纯度以及仪器波长的准确度。


       9.用于制剂含量测定时,应注意供试液与对照液的pH值是否一致,如pH值对吸收有影响,则应调溶液的pH值一致后再测定吸光度。


6、结果计算

       6.1对照品比较法
       可根据供试品溶液及对照品溶液的吸光度与对照品溶液的浓度以正比法算出供试品溶液的浓度,再计算含量。
c样品=A样品×c对照A对照
       式中A为吸光度值;
       c为测试液浓度(以mgml计)。
       6.2吸收系数法

       规定的吸收系数,系指E,即在指定波长时,光路长度为1 cm,试样浓度换算为1%(gml)时的吸光度值,故应先求被测样品的E值,再与规定的E标准值比较,可计算出供试样品的含量。

E=Acl
       式中A为供试品溶液测得的吸光度值;
       c为供试品溶液的百分浓度,即100m1中所含溶质的克数(gml);
       l为吸收池的光路长度(cm)。
       供试品的含量%=EE标准100
       式中E(样品,为根据前式计算出的供试品吸收系数;
       E标准为标准中规定的吸收系数。

7、吸收系数测定法

       本法主要用于新品种的吸收系数测定。

       7.1测定方法

       取精制样品精密称取一定量,使样品溶液配成吸光度读数在0.6~0.8之间,置1 cm吸收池中,在规定波长处按5.8项的规定测出吸光度读数,然后再用同批溶剂将溶液稀释1倍,使吸光度在0.3~0.4之间,再按上述方法测定。样品应同时测定2份,同一台仪器测定的2份结果,对平均值的偏差应不超过±0.300,否则应重新测定。测定时,先按仪器正常灵敏度测试,然后再减小狭缝测定,直到减小狭缝吸光值不增加为止,取吸光度不改变的数据。再用4台不同型号的仪器复测。

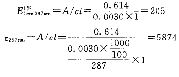
       吸收系数可根据朗伯一比尔定律求算,以下例说明。


       已知某化合物的分子量为287,用乙醇配成浓度为0.0030%的溶液,在波长297nm处,用1 cm石英池,测得吸光度为0.6139,求E值及摩尔吸收系数ε值。


       7.2测定注意事项


       7.2.1样品应为精制品,水分或干燥失重应另取样测定并予以扣除。


      7.2.2所用的容量仪器及分析天平应经过检定,如有相差应加上校正值。


       7.2.3测定所用的溶剂,其吸光度应符合规定。吸收池应于临用时配对或作空白校正。


       7.2.4称取样品时,其称量准确度应按规定要求。

       7.2.5所用的分光光度计应经过严格检定,特别是波长准确度和吸光度精度要进行校正。要注明测定时的温度。

相关产品